essay

hot100-相交链表

#算法

hot100——相交链表

给你两个单链表的头节点 headA 和 headB ,请你找出并返回两个单链表相交的起始节点。如果两个链表不存在相交节点,返回 null 。

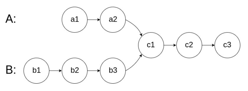
图示两个链表在节点 c1 开始相交:

image.png

题目数据 保证 整个链式结构中不存在环。

注意,函数返回结果后,链表必须 保持其原始结构 。

自定义评测:

评测系统 的输入如下(你设计的程序 不适用 此输入):

intersectVal - 相交的起始节点的值。如果不存在相交节点,这一值为 0

listA - 第一个链表

listB - 第二个链表

skipA - 在 listA 中(从头节点开始)跳到交叉节点的节点数

skipB - 在 listB 中(从头节点开始)跳到交叉节点的节点数

评测系统将根据这些输入创建链式数据结构,并将两个头节点 headA 和 headB 传递给你的程序。如果程序能够正确返回相交节点,那么你的解决方案将被 视作正确答案 。

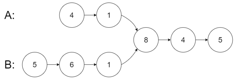
示例 1:

image.png

输入:intersectVal = 8, listA = [4,1,8,4,5], listB = [5,6,1,8,4,5], skipA = 2, skipB = 3
输出:Intersected at '8'

解释:相交节点的值为 8 (注意,如果两个链表相交则不能为 0)。

从各自的表头开始算起,链表 A 为 [4,1,8,4,5],链表 B 为 [5,6,1,8,4,5]。
在 A 中,相交节点前有 2 个节点;在 B 中,相交节点前有 3 个节点。

  • 请注意相交节点的值不为 1,因为在链表 A 和链表 B 之中值为 1 的节点 (A 中第二个节点和 B 中第三个节点) 是不同的节点。换句话说,它们在内存中指向两个不同的位置,而链表 A 和链表 B 中值为 8 的节点 (A 中第三个节点,B 中第四个节点) 在内存中指向相同的位置。

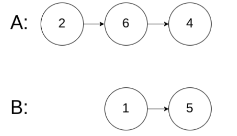
示例 2:

image.png

输入:intersectVal = 0, listA = [2,6,4], listB = [1,5], skipA = 3, skipB = 2
输出:No intersection

解释:从各自的表头开始算起,链表 A 为 [2,6,4],链表 B 为 [1,5]。

由于这两个链表不相交,所以 intersectVal 必须为 0,而 skipA 和 skipB 可以是任意值。

这两个链表不相交,因此返回 null 。

解法

/**
 * Definition for singly-linked list.
 * type ListNode struct {
 *     Val int
 *     Next *ListNode
 * }
 */
func getIntersectionNode(headA, headB *ListNode) *ListNode {
    //从两个链表的表头开始遍历
    pA, pB := headA, headB
    for pA != pB {
        if pA != nil {
            pA = pA.Next
        } else {
            //pA为nil说明A遍历完了,遍历B
            pA = headB
        }
        if pB != nil {
            pB = pB.Next
        } else {
            //pB为nil说明A遍历完了,遍历A
            pB = headA
        }
    }
    return pA
}
comments如果有不同意见或者补充,直接留在这里。
contact

在别处继续找到我

如果你想聊技术、设计,或者只是打个招呼。

暂未配置外部链接