essay

hot100-二叉树的中序遍历

#算法

hot100——二叉树的中序遍历

给定一个二叉树的根节点 root ,返回 它的 中序 遍历 。

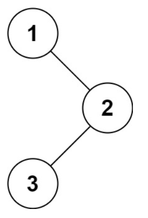
示例 1:

image.png

输入:root = [1,null,2,3]

输出:[1,3,2]

示例 2:

输入:root = []

输出:[]

示例 3:

输入:root = [1]

输出:[1]

提示:

树中节点数目在范围 [0, 100] 内

-100 <= Node.val <= 100

解法:

/**
 * Definition for a binary tree node.
 * type TreeNode struct {
 *     Val int
 *     Left *TreeNode
 *     Right *TreeNode
 * }
 */
 
func inorderTraversal(root *TreeNode) []int {
    res := make([]int, 0)
    inorder(root, &res)
    return res
}
 
func inorder(node *TreeNode, res *[]int) {
    if node == nil {
        return
    }
    inorder(node.Left, res)      // 左
    *res = append(*res, node.Val) // 根
    inorder(node.Right, res)     // 右
}
comments如果有不同意见或者补充,直接留在这里。
contact

在别处继续找到我

如果你想聊技术、设计,或者只是打个招呼。

暂未配置外部链接