essay

hot100-二叉树的层序遍历

#算法

hot100——二叉树的层序遍历

给你二叉树的根节点 root ,返回其节点值的 层序遍历 。 (即逐层地,从左到右访问所有节点)。

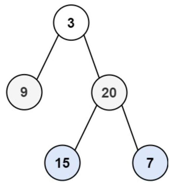
示例 1:

image.png
输入:root = [3,9,20,null,null,15,7]

输出:[[3],[9,20],[15,7]]

示例 2:

输入:root = [1]

输出:[[1]]

示例 3:

输入:root = []

输出:[]

提示:

树中节点数目在范围 [0, 2000] 内

-1000 <= Node.val <= 1000

解法

/**
 * Definition for a binary tree node.
 * type TreeNode struct {
 *     Val int
 *     Left *TreeNode
 *     Right *TreeNode
 * }
 */
 
func levelOrder(root *TreeNode) [][]int {
    if root == nil {
        return [][]int{}
    }
    result := make([][]int, 0)
    queue := []*TreeNode{root} // 初始化队列,加入根节点
 
    for len(queue) > 0 {
        levelSize := len(queue) // 当前层的节点数
        level := make([]int, 0, levelSize)
 
        for i := 0; i < levelSize; i++ {
            // 出队
            node := queue[0]
            queue = queue[1:]
 
            // 记录当前节点值
            level = append(level, node.Val)
 
            // 将左右子节点加入队列(下一层)
            if node.Left != nil {
                queue = append(queue, node.Left)
            }
            if node.Right != nil {
                queue = append(queue, node.Right)
            }
        }
 
        result = append(result, level)
    }
 
    return result
}
comments如果有不同意见或者补充,直接留在这里。
contact

在别处继续找到我

如果你想聊技术、设计,或者只是打个招呼。

暂未配置外部链接