essay

hot100-二叉树的最大深度

#算法

hot100——二叉树的最大深度

给定一个二叉树 root ,返回其最大深度。

二叉树的 最大深度 是指从根节点到最远叶子节点的最长路径上的节点数。

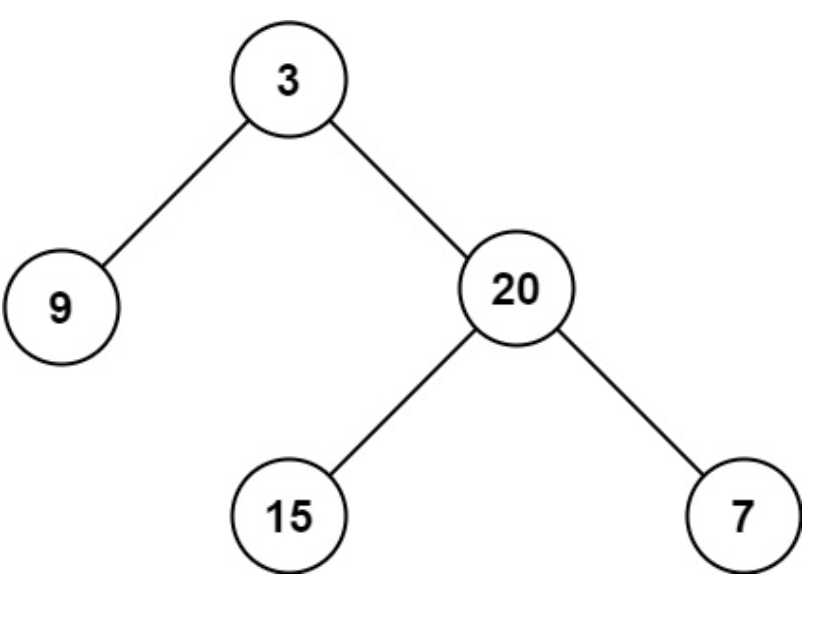
示例 1:

image.png

输入:root = [3,9,20,null,null,15,7]

输出:3

示例 2:

输入:root = [1,null,2]

输出:2

提示:

树中节点的数量在 [0, 10410^4] 区间内。

-100 <= Node.val <= 100

解法

/**
 * Definition for a binary tree node.
 * type TreeNode struct {
 *     Val int
 *     Left *TreeNode
 *     Right *TreeNode
 * }
 */
func maxDepth(root *TreeNode) int {
    if root == nil {
        return 0
    }
    leftDepth := maxDepth(root.Left)
    rightDepth := maxDepth(root.Right)
    if leftDepth > rightDepth {
        return leftDepth + 1
    } else {
        return rightDepth + 1
    }
}
comments如果有不同意见或者补充,直接留在这里。
contact

在别处继续找到我

如果你想聊技术、设计,或者只是打个招呼。

暂未配置外部链接