essay

hot100-二叉树中的最大路径和

#算法

hot100——二叉树中的最大路径和

二叉树中的 路径 被定义为一条节点序列,序列中每对相邻节点之间都存在一条边。同一个节点在一条路径序列中 至多出现一次 。该路径 至少包含一个 节点,且不一定经过根节点。

路径和 是路径中各节点值的总和。

给你一个二叉树的根节点 root ,返回其 最大路径和 。

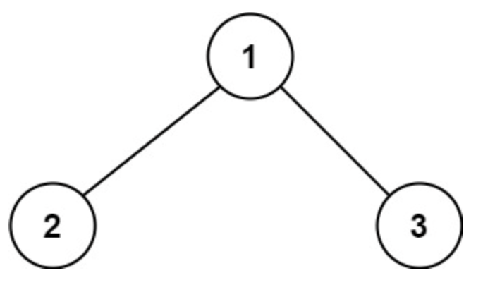
示例 1:

image.png

输入:root = [1,2,3]

输出:6

解释:最优路径是 2 -> 1 -> 3 ,路径和为 2 + 1 + 3 = 6

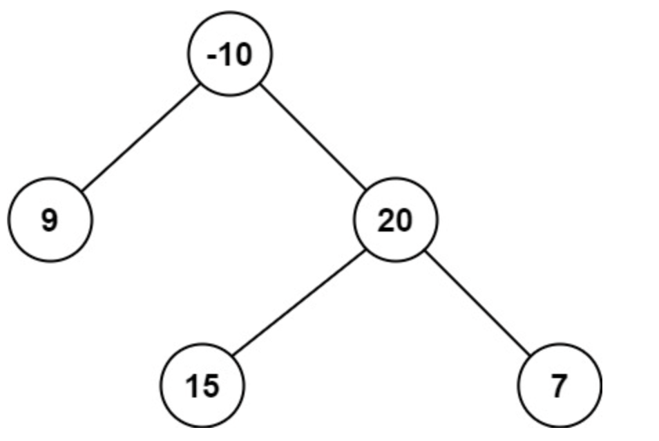
示例 2:

image.png
输入:root = [-10,9,20,null,null,15,7]

输出:42

解释:最优路径是 15 -> 20 -> 7 ,路径和为 15 + 20 + 7 = 42

提示:

树中节点数目范围是 [1, 3 * 10410^4]

-1000 <= Node.val <= 1000

解法

/**
 * Definition for a binary tree node.
 * type TreeNode struct {
 *     Val int
 *     Left *TreeNode
 *     Right *TreeNode
 * }
 */
import "math"
func maxPathSum(root *TreeNode) int {
    maxSum := math.MinInt64
    dfs(root, &maxSum)
    return maxSum
}
 
// 返回以 node 为起点的最大向下贡献,并通过指针更新全局最大路径和
func dfs(node *TreeNode, maxSum *int) int {
    if node == nil {
        return 0
    }
    leftGain := max(dfs(node.Left, maxSum), 0)
    rightGain := max(dfs(node.Right, maxSum), 0)
 
    // 更新全局最大路径和:经过当前节点的路径
    currentPathSum := node.Val + leftGain + rightGain
    if currentPathSum > *maxSum {
        *maxSum = currentPathSum
    }
 
    // 返回当前节点的最大贡献
    return node.Val + max(leftGain, rightGain)
}
 
comments如果有不同意见或者补充,直接留在这里。
contact

在别处继续找到我

如果你想聊技术、设计,或者只是打个招呼。

暂未配置外部链接