essay

hot100-不同的二叉搜索树

#算法

hot100——不同的二叉搜索树

给你一个整数 n ,求恰由 n 个节点组成且节点值从 1 到 n 互不相同的 二叉搜索树 有多少种?返回满足题意的二叉搜索树的种数。

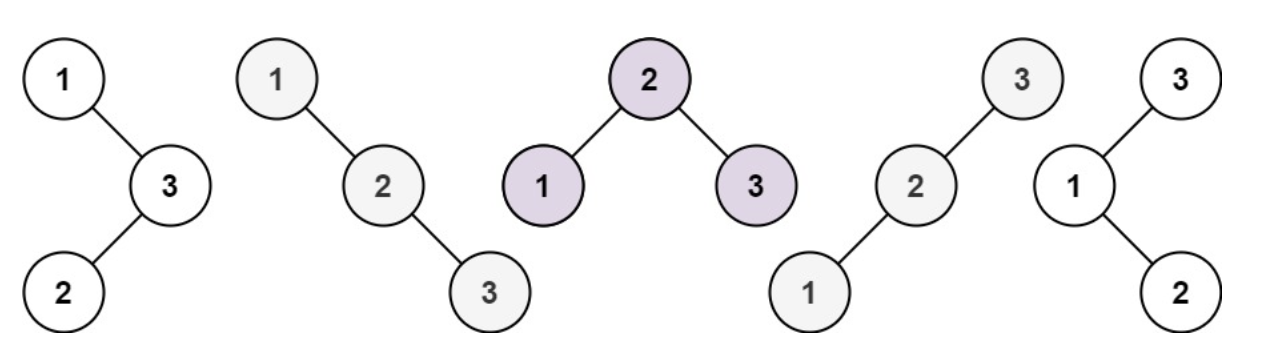
示例 1:
image.png
输入:n = 3

输出:5

示例 2:

输入:n = 1

输出:1

提示:

1 <= n <= 19

解法

func numTrees(n int) int {
    // dp[i] 表示由 i 个节点(值从 1 到 i)能构成的不同二叉搜索树的个数
    dp := make([]int, n+1) // 创建长度为 n+1 的切片,索引 0..n
 
    // 基础情况:空树和只有一个节点的树都只有 1 种
    dp[0], dp[1] = 1, 1
 
    // 从 2 个节点开始,逐步计算到 n 个节点
    for i := 2; i <= n; i++ {
        // 枚举根节点的值 j,j 可以从 1 到 i
        for j := 1; j <= i; j++ {
            // 左子树有 j-1 个节点,右子树有 i-j 个节点
            // 左右子树的形态数相乘,得到以 j 为根的总数
            // 累加到 dp[i] 上,覆盖所有可能的根节点
            dp[i] += dp[j-1] * dp[i-j]
        }
    }
 
    // 返回 n 个节点的二叉搜索树总数
    return dp[n]
}
comments如果有不同意见或者补充,直接留在这里。
contact

在别处继续找到我

如果你想聊技术、设计,或者只是打个招呼。

暂未配置外部链接