essay

hot100-路径总和III

#算法

hot100——路径总和III

给定一个二叉树的根节点 root ,和一个整数 targetSum ,求该二叉树里节点值之和等于 targetSum 的 路径 的数目。

路径 不需要从根节点开始,也不需要在叶子节点结束,但是路径方向必须是向下的(只能从父节点到子节点)。

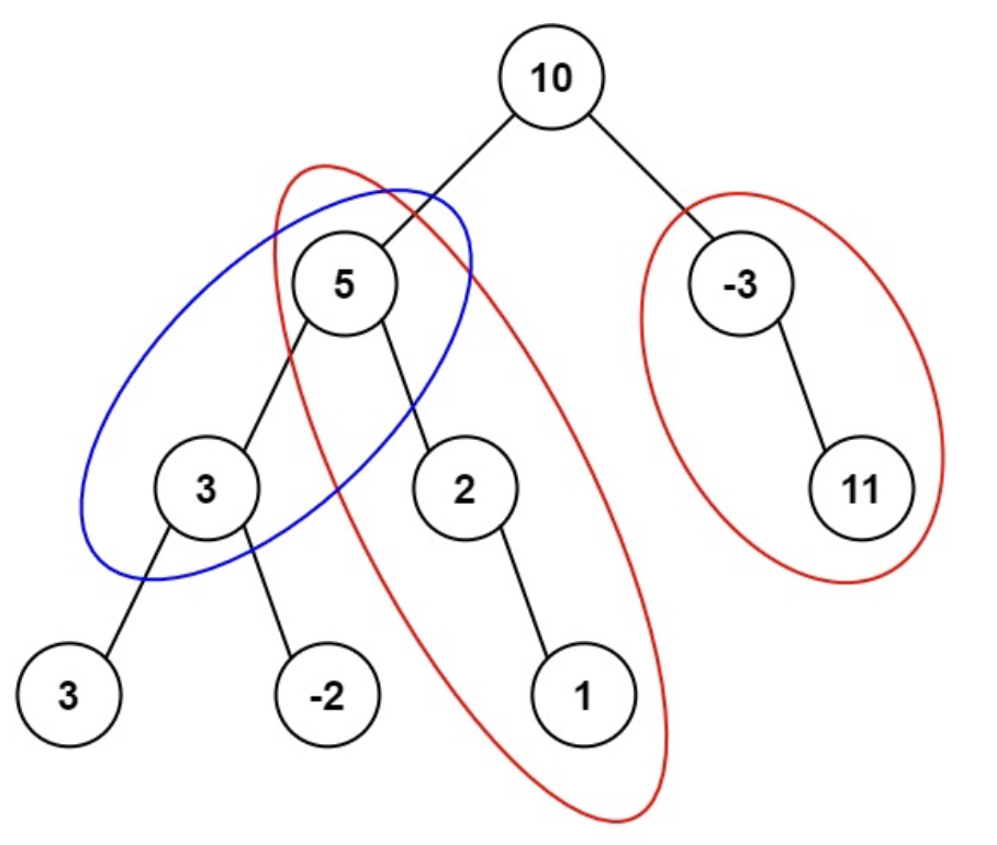
示例 1:

image.png
输入:root = [10,5,-3,3,2,null,11,3,-2,null,1], targetSum = 8

输出:3

解释:和等于 8 的路径有 3 条,如图所示。

示例 2:

输入:root = [5,4,8,11,null,13,4,7,2,null,null,5,1], targetSum = 22

输出:3

提示:

二叉树的节点个数的范围是 [0,1000]

-10910^9 <= Node.val <= 10910^9

-1000 <= targetSum <= 1000

解法

/**
 * Definition for a binary tree node.
 * type TreeNode struct {
 *     Val int
 *     Left *TreeNode
 *     Right *TreeNode
 * }
 */
 
// pathSum 返回二叉树中路径和等于 targetSum 的路径总数(路径方向向下,不必须从根开始)
func pathSum(root *TreeNode, targetSum int) int {
    // 前缀和映射:从根到当前节点的路径和 -> 出现次数
    // 初始化前缀和为 0 出现一次,表示空路径
    prefix := make(map[int]int)
    prefix[0] = 1
    // 开始深度优先搜索
    return dfs(root, 0, targetSum, prefix)
}
 
// dfs 递归遍历二叉树,返回以 node 为根的子树中所有符合条件的路径总数
// curSum 是从根到当前节点的路径和(不含当前节点,调用时传入父节点的 curSum)
// targetSum 是目标值
// prefix 是前缀和计数映射(会随着递归动态更新)
func dfs(node *TreeNode, currSum int, targetSum int, prefix map[int]int) int {
    if node == nil {
        return 0
    }
 
    // 更新当前路径和(加上当前节点值)
    currSum += node.Val
 
    // 核心:以当前节点结尾的路径中,有多少条路径和为 targetSum
    // 即之前出现过的前缀和为 currSum - targetSum 的次数
    result := prefix[currSum-targetSum]
 
    // 将当前路径和加入前缀和计数,供子树使用
    prefix[currSum]++
 
    // 递归处理左右子树,并将它们的结果累加到 result 上
    result += dfs(node.Left, currSum, targetSum, prefix)
    result += dfs(node.Right, currSum, targetSum, prefix)
 
    // 回溯:当前节点处理完毕,返回父节点之前,移除当前路径和的计数
    // 避免影响兄弟子树或父节点的其他分支
    prefix[currSum]--
 
    // 返回当前子树中所有符合条件的路径总数
    return result
}
comments如果有不同意见或者补充,直接留在这里。
contact

在别处继续找到我

如果你想聊技术、设计,或者只是打个招呼。

暂未配置外部链接