essay

hot100-删除链表的倒数第N个节点

#算法

hot100——删除链表的倒数第N个节点

给你一个链表,删除链表的倒数第 n 个结点,并且返回链表的头结点。

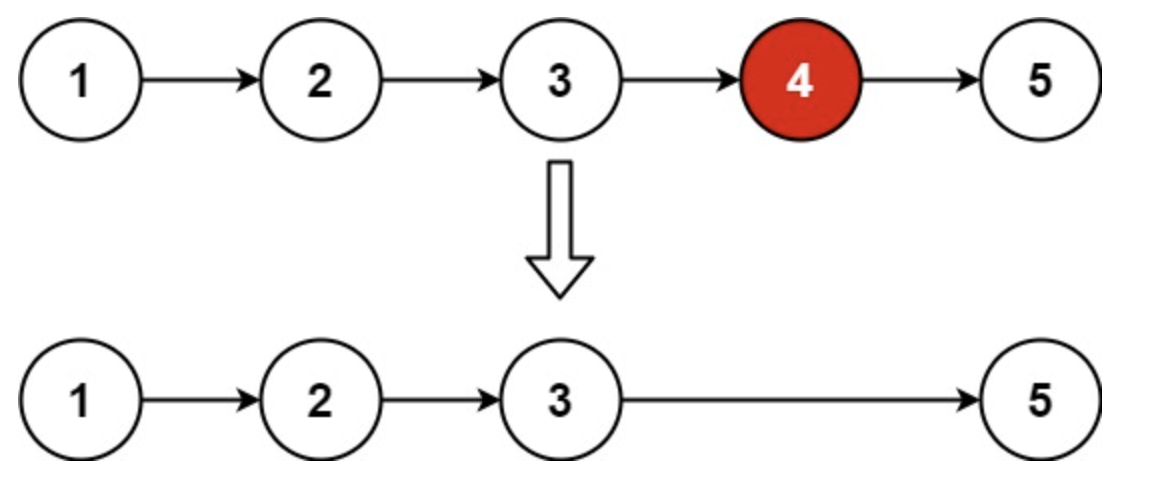
示例 1:

image.png

输入:head = [1,2,3,4,5], n = 2

输出:[1,2,3,5]

示例 2:

输入:head = [1], n = 1

输出:[]

示例 3:

输入:head = [1,2], n = 1

输出:[1]

提示:

链表中结点的数目为 sz

1 <= sz <= 30

0 <= Node.val <= 100

1 <= n <= sz

解法

/**
 * Definition for singly-linked list.
 * type ListNode struct {
 *     Val int
 *     Next *ListNode
 * }
 */
func removeNthFromEnd(head *ListNode, n int) *ListNode {
    // 创建虚拟头节点(dummy node),其 Next 指向原链表头。
    dummy := &ListNode{Next: head}
    slow, fast := dummy, dummy
    //让快指针先走n步
    for i := 0; i < n; i++ {
        fast = fast.Next
    }
    
    for fast.Next != nil {
        fast = fast.Next
        slow = slow.Next
    }
    //快指针走到表尾时,慢指针所在的下一个节点位置就是要删除的节点
    slow.Next = slow.Next.Next
    return dummy.Next
}
comments如果有不同意见或者补充,直接留在这里。
contact

在别处继续找到我

如果你想聊技术、设计,或者只是打个招呼。

暂未配置外部链接