essay
hot100-排序链表
#算法
hot100——排序链表
给你链表的头结点 head ,请将其按 升序 排列并返回 排序后的链表 。
示例 1:
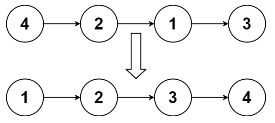
输入:head = [4,2,1,3]
输出:[1,2,3,4]
示例 2:
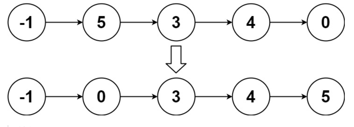
输入:head = [-1,5,3,4,0]
输出:[-1,0,3,4,5]
示例 3:
输入:head = []
输出:[]
提示:
链表中节点的数目在范围 [0, 5 * ] 内
- <= Node.val <=
给你链表的头结点 head ,请将其按 升序 排列并返回 排序后的链表 。
示例 1:
输入:head = [4,2,1,3]
输出:[1,2,3,4]
示例 2:
输入:head = [-1,5,3,4,0]
输出:[-1,0,3,4,5]
示例 3:
输入:head = []
输出:[]
提示:
链表中节点的数目在范围 [0, 5 * ] 内
- <= Node.val <=
如果你想聊技术、设计,或者只是打个招呼。
暂未配置外部链接